Rotavirus Research Projects
Recent Papers
Kraay et al, Vaccine 2022
Amin et al, Epidemiology 2022
Lives saved with vaccination for 10 pathogens across 112 countries in a pre-COVID-19 world
Toor et al. eLife. 2021
Baker et al, Lancet Global Health 2021
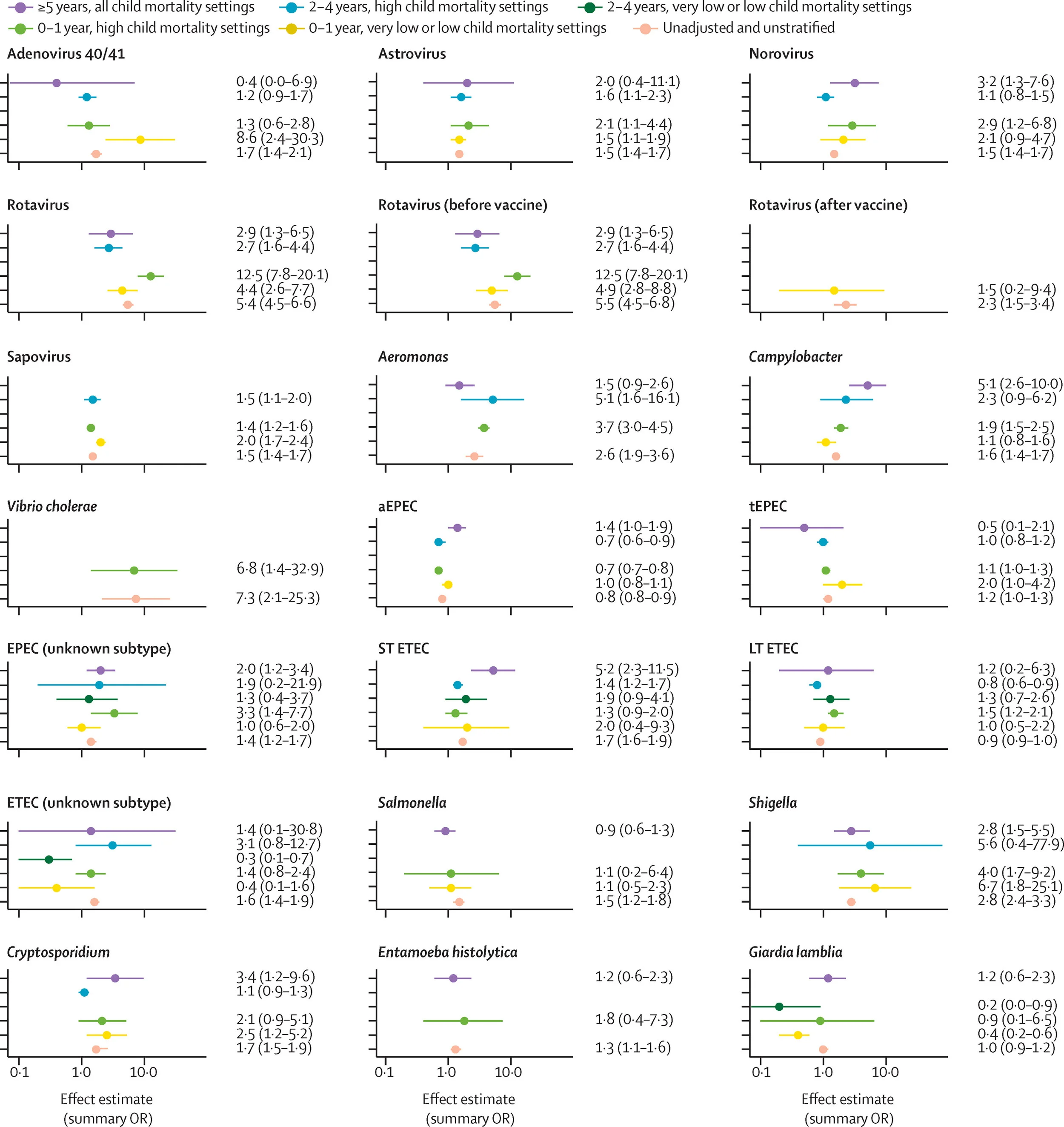
Baker et al. PLOS Medicine 2019
Baker et al. BMC Infect Dis 2019
Impact and effectiveness of monovalent rotavirus vaccine against severe rotavirus diarrhea in Ghana
Lopman et al. Clinical Infectious Diseases 2016